偏光観測性能 のバックアップ(No.2)
- バックアップ一覧
- 差分 を表示
- 現在との差分 を表示
- ソース を表示
- 偏光観測性能 へ行く。
- 1 (2019-07-16 (火) 13:36:11)
- 2 (2019-07-16 (火) 16:31:53)
- 3 (2019-07-17 (水) 23:42:11)
- 4 (2020-03-28 (土) 22:16:59)
NIC-Topに戻る
偏光観測性能 †
| Unit | J | H | Ks | Remarks | |
| Field of view | arcsec^2 | 24x69 | 24x69 | 24x69 | ref: 1) |
| Inst. q | % | -0.00 [0.29] | 0.03 [0.52] | -0.02 [0.30] | q=Q/I, Including telescope pol., on inst. coordinate, ref: 1) |
| Inst. u | % | -0.01 [0.29] | -0.03 [0.55] | -0.07 [0.31] | u=U/I, Incl. telescope pol., on inst. coordinate, ref: 1) |
| Pol. efficiency | % | 98 [6] | 95 [7] | 92 [12] | (measured P / (literature P) |
| Position ang. offset | deg | 0.5 [1.3] | 1.3 [3.1] | -0.7 [6.3] | (measured P.A.) - (literature P.A.) |
[value] : error (standard deviation)
sigma_P vs ount vs (mag, exptime) †
- 使用データ
- 観測天体 : 強偏光標準星 5天体 (UKIRTのリストから選択)
- 観測日: 19/04/17, 19/04/22
- 用語、量の定義、説明:
- 1セット: 4回の露出 (半波長板4方位)。1セットのデータから、1セットの (P, P.A.)が導出される。
- sigma_P : Nセットの偏光度P 測定値 (fraction表記, つまり P=1=100%) の標準偏差。(q, u) の標準偏差から誤差伝搬の式で導出。
- count: Nセットの観測で得られた4x2xN個の測光値の合計
- mag: 等級 (J, H, or Ks)
- exptime: Nセットの観測の総露出時間 (秒) = 4xNx(1回の露出時間)
sigma_P vs count †
関係式:
log(sigma_P) = -0.624 * log(count) + 1.697 (J, H, Ks 共通)
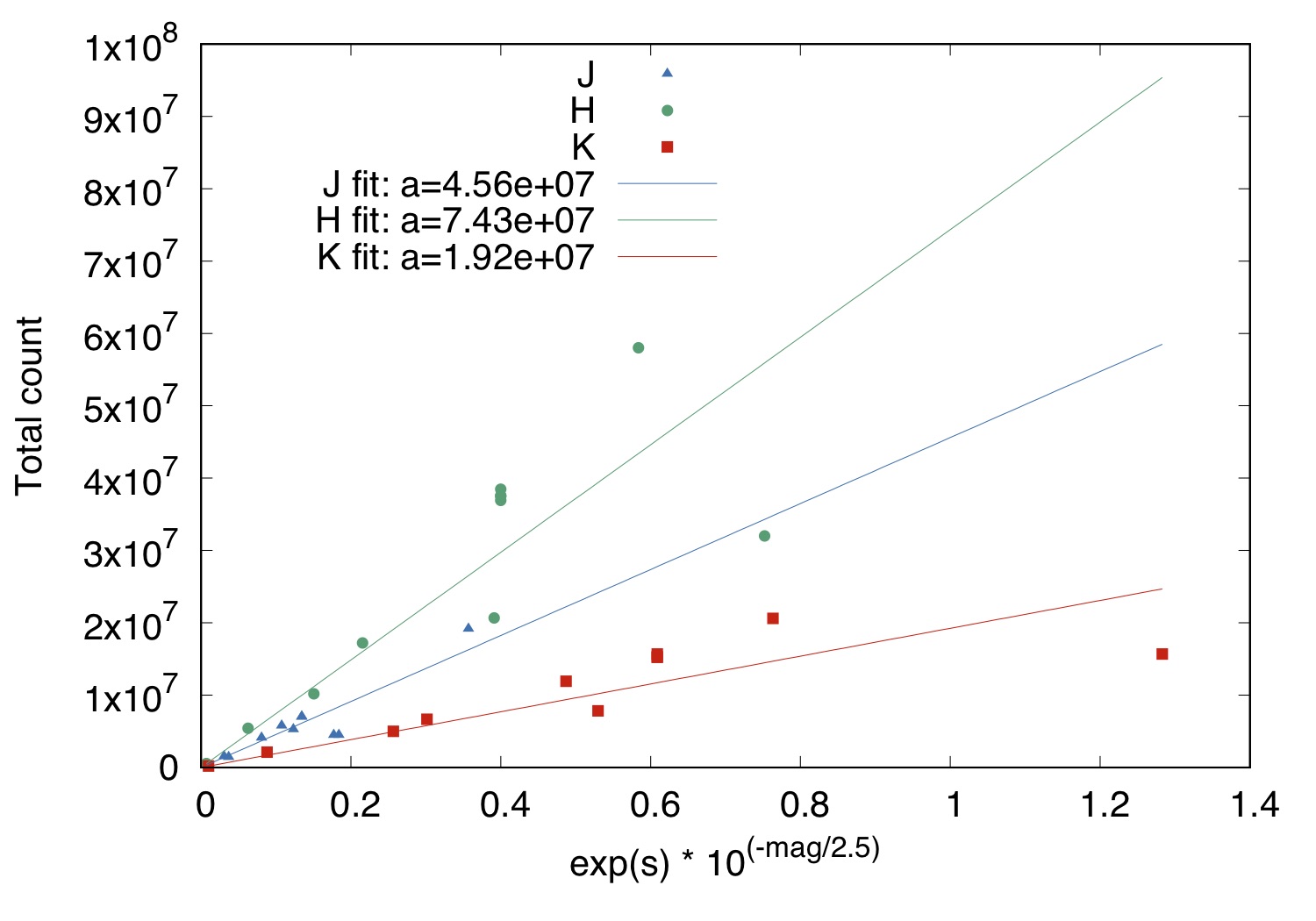
count vs exptime †
関係式
count = a * exptime * 10^(-mag/2.5)
| J | H | Ks | Remarks | |
| value of a | 4.56 * 10^7 | 7.43 * 10^7 | 1.92 * 10^7 |

